ads/auto.txt

Soal Ulangan Logaritma Kelas 10

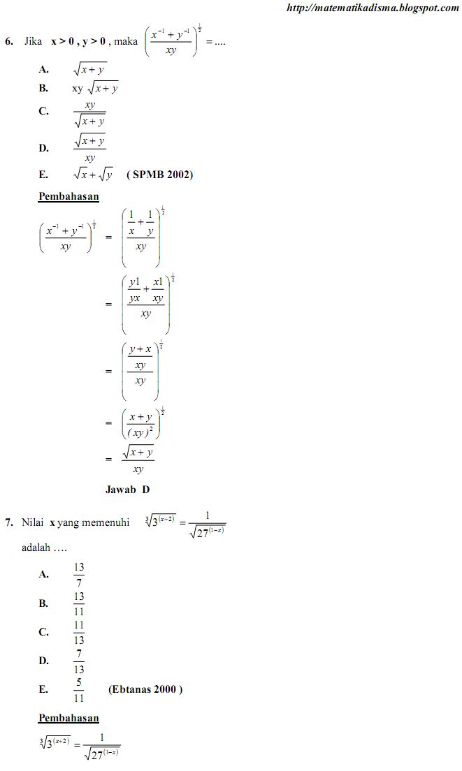
Os2kangkung Soal Dan Pemb Un Matematika Bab Bentuk Pangkat Akar

Os2kangkung Soal Dan Pemb Un Matematika Bab Bentuk Pangkat Akar

Os2kangkung Soal Dan Pemb Un Matematika Bab Bentuk Pangkat Akar

Os2kangkung Soal Dan Pemb Un Matematika Bab Bentuk Pangkat Akar

Os2kangkung Soal Dan Pemb Un Matematika Bab Bentuk Pangkat Akar

Os2kangkung Soal Dan Pemb Un Matematika Bab Bentuk Pangkat Akar

Kumpulan Soal Dan Pembahasan Logaritma

Kumpulan Soal Dan Pembahasan Logaritma

Latihan Soal Dan Pembahasan Logaritma Sma Kelas X

Latihan Soal Dan Pembahasan Logaritma Sma Kelas X

Rangkuman Contoh Soal Eksponen Logaritma Pembahasan Jawaban

Rangkuman Contoh Soal Eksponen Logaritma Pembahasan Jawaban

Rangkuman Contoh Soal Eksponen Logaritma Pembahasan Jawaban

Latihan soal logaritma untuk sma kelas 10.

Soal ulangan logaritma kelas 10. Duniamatematika 8 september 2016. A 2 3 8 b 5 4 625 c 7 2 49 pembahasan transformasi bentuk pangkat ke bentuk logaritma. A 2 3 8 2 log 8 3 b 5 4 625 5 log 625 4. Soal latihan logaritma kelas 10.

6 pembahasan dari sifat logaritma berikut. 6 pembahasan dari sifat yang sama. 12 nilai dari a. A 2 3 8 b 5 4 625 c 7 2 49 pembahasan transformasi bentuk pangkat ke bentuk logaritma.

Latihan soal logaritma untuk sma kelas 10. Soal ulangan logaritma kelas 10 berikut ini adalah kisi kisi soal pretest ppg 2018 yang merupakan kumpulan file dari berbagi sumber kisi kisi ppg tentang soal ulangan logaritma kelas 10 yang bisa bapak ibu gunakan dan diunduh secara gratis dengan menekan tombol download biru dibawah ini. Contoh file download contoh soal uts semester 1 tahun 2015 untuk sd semua kelas berikut ini adalah kumpulan dari berbagi sumber tentang soal latihan logaritma kelas 10 yang bisa gunakan untuk administrasi contoh soal dan diunduh secara gratis dengan menekan tombol download biru dibawah ini. Fajri asahi aug 2 2020 1 min read.

Soal disederhanakan menjadi soal no. Jangan bilang susah kalau belum coba ngulik soal logaritma sma. Pada video kali ini kita akan membahas tentang logaritma kelas 10 soal dan pembahasan. Latihan soal logaritma untuk sma kelas 10.

Soal revisi sd smp sma. Guru sd smp sma soal latihan logaritma kelas 10. Pada pertemuan sebelumnya telah dibahas tentang pengertian persamaan logaritma dimana diartikel sebelumnya diuraikan lengkap mulai dari pengertian sifat rumus dan beberapa contoh soal namun tidak banyak. Contoh file download contoh soal uts semester 1 tahun 2015 untuk sd semua kelas berikut ini adalah kumpulan dari berbagi sumber tentang soal latihan logaritma kelas 10 yang bisa gunakan untuk administrasi contoh soal dan diunduh secara gratis dengan menekan tombol download biru dibawah ini.

Guru sd smp sma soal latihan logaritma kelas 10. 1 ubah bentuk pangkat pada soal soal berikut menjadi bentuk logaritma. Kelas 10 kumpulan soal matematika sma. Jika b a c maka b log c a.

Halo setelah kalian membaca materi logaritma sekarang akan disajikan latihan soal logaritma yang bisa kalian coba kerjakan soal soal ini diambil dari beberapa sumber. Kumpulan soal logaritma kelas 10 dan pembahasan soal no. 127 127 mendukung tandai dokumen ini sebagai bermanfaat 20 20 menolak tandai dokumen ini sebagai tidak bermanfaat tanamkan. Simpan simpan latihan soal dan pembahasan logaritma sma kelas x untuk nanti.

Rumus co id pada kesempatan kali ini kita akan membahas tentang contoh soal logaritma matematika kelas 10 penjumlahan pengurangan beserta jawabannya dan pembahasannya lengkap.

5 Soal Logaritma Dan Jawaban 10 Sma Brainly Co Id

5 Soal Logaritma Dan Jawaban 10 Sma Brainly Co Id

Contoh Soal Logaritma Dan Pembahasannya Beserta Jawabannya

Contoh Soal Logaritma Dan Pembahasannya Beserta Jawabannya

Sifat Logaritma Bukti Contoh Soal Dan Penyelesaiannya

Sifat Logaritma Bukti Contoh Soal Dan Penyelesaiannya

Yuk Pelajari 7 Soal Logaritma Dan Pembahasannya Ini Agar Kamu

Yuk Pelajari 7 Soal Logaritma Dan Pembahasannya Ini Agar Kamu

13 Soal Soal Fungsi Komposisi Dan Fungsi Invers

13 Soal Soal Fungsi Komposisi Dan Fungsi Invers

Os2kangkung Soal Dan Pemb Un Matematika Bab Bentuk Pangkat Akar

Os2kangkung Soal Dan Pemb Un Matematika Bab Bentuk Pangkat Akar

Berapa Hasil Perhitungan 5 1x2 7 Atau 12 Belajar Matematika

Berapa Hasil Perhitungan 5 1x2 7 Atau 12 Belajar Matematika

Soal Ujian Ut Universitas Terbuka Pendidikan Bahasa Dan Sastra

Soal Ujian Ut Universitas Terbuka Pendidikan Bahasa Dan Sastra

Kumpulan Soal Dan Pembahasan Logaritma Guru Ilmu Sosial

Kumpulan Soal Dan Pembahasan Logaritma Guru Ilmu Sosial

Latihan Soal Logaritma Untuk Sma Kelas 10 Duniamatematika Com

Latihan Soal Logaritma Untuk Sma Kelas 10 Duniamatematika Com

Soal Latihan Dan Pembahasan Un Matematika Smk 2017

Soal Latihan Dan Pembahasan Un Matematika Smk 2017

Os2kangkung Soal Dan Pemb Un Matematika Bab Bentuk Pangkat Akar

Os2kangkung Soal Dan Pemb Un Matematika Bab Bentuk Pangkat Akar

Persamaan Logaritma Idschool

Persamaan Logaritma Idschool

Rief Awa Tema Kelas Pendidikan Sekolah Dasar

Rief Awa Tema Kelas Pendidikan Sekolah Dasar

Source : pinterest.com