ads/auto.txt

Contoh Soal Nilai Mutlak Sederhana

Contoh Soal Nilai Mutlak Beserta Kunci Jawaban Pembahasan

Contoh Soal Nilai Mutlak Beserta Kunci Jawaban Pembahasan

Nilai Mutlak Persamaan Pertidaksamaan Contoh Soal

Nilai Mutlak Persamaan Pertidaksamaan Contoh Soal

Contoh Soal Persamaan Nilai Mutlak Dan Penyelesaiannya

Contoh Soal Persamaan Nilai Mutlak Dan Penyelesaiannya

Soal Persamaan Nilai Mutlak Serta Pembahasannya Jelas Dan Mudah

Soal Persamaan Nilai Mutlak Serta Pembahasannya Jelas Dan Mudah

Lengkap Dan Mudah Pertidaksamaan Nilai Mutlak Tipe Soal 1 Youtube

Lengkap Dan Mudah Pertidaksamaan Nilai Mutlak Tipe Soal 1 Youtube

Penjelasan Detail Penjumlahan Persamaan Nilai Mutlak Satu Variabel

Penjelasan Detail Penjumlahan Persamaan Nilai Mutlak Satu Variabel

Penjelasan Detail Penjumlahan Persamaan Nilai Mutlak Satu Variabel

Dikarenakan jarak itu selalu positif atau.

Contoh soal nilai mutlak sederhana. Contoh soal cerita nilai mutlak dan pembahasannya youtube. Dikarenakan jarak itu selalu positif atau. Contoh soal persamaan nilai mutlak. Setelah memahami konsep dasar pertidaksamaan nilai mutlak dan contoh soal sederhana seperti di atas sekarang kita lanjutkan membahas soal pertidaksamaan nilai mutlak bentuk yang lain.

Materi persamaan nilai mutlak linier satu variabel rasanya belum lengkap kalau tidak ada pembahasan contoh soal. Nilai mutlak pengertian soal dan pembahasan matematika. Oleh karenanya inilah dia contoh soal persamaan nilai mutlak dan pembahasannya. Pada sudut pandang geometri nilai mutlak dari x ditulis sebagai x yaitu jarak dari x ke 0 pada garis bilangan real.

Soal dan penyelesaian persamaan nilai mutlak kelas x sma semester 1 diposkan pada 2 agustus 2016 oleh atikanurs ini soal matematika bab persamaan nilai mutlak.

Menyelesaikan Persamaan Nilai Mutlak Pendidikan Matematika

Menyelesaikan Persamaan Nilai Mutlak Pendidikan Matematika

Persamaan Nilai Mutlak Mudah Linear Satu Variabel 3 Youtube

Persamaan Nilai Mutlak Mudah Linear Satu Variabel 3 Youtube

Contoh Soal Cerita Nilai Mutlak Dan Pembahasannya Youtube

Contoh Soal Cerita Nilai Mutlak Dan Pembahasannya Youtube

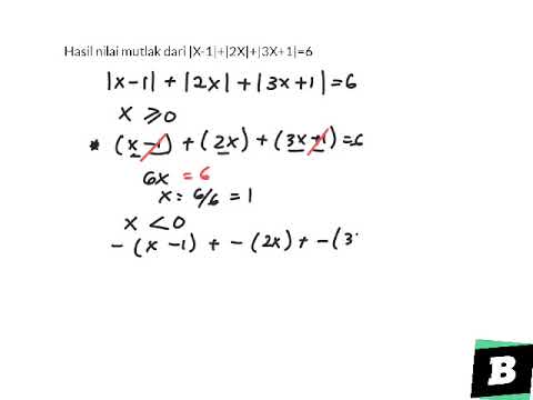
Hasil Nilai Mutlak Dari X 1 2x 3x 1 6 Youtube

Hasil Nilai Mutlak Dari X 1 2x 3x 1 6 Youtube

Mudahnya Menyelesaikan Pertidaksamaan Nilai Mutlak 2 Youtube

Mudahnya Menyelesaikan Pertidaksamaan Nilai Mutlak 2 Youtube

Menentukan Akar Akar Dari Setiap Persamaan Nilai Mutlak Dari 4 3x

Menentukan Akar Akar Dari Setiap Persamaan Nilai Mutlak Dari 4 3x

Persamaan Dan Pertidaksamaan Nilai Mutlak Serta Beberapa Fungsi

Persamaan Dan Pertidaksamaan Nilai Mutlak Serta Beberapa Fungsi

6 Nilai Mutlak Menyederhanakan Youtube

6 Nilai Mutlak Menyederhanakan Youtube

Fokus Utbk Sbmptn Pertidaksamaan Nilai Mutlak Matematika

Fokus Utbk Sbmptn Pertidaksamaan Nilai Mutlak Matematika

Lagi Limit Dengan Nilai Mutlak Youtube

Lagi Limit Dengan Nilai Mutlak Youtube

Cara Mudah Menyelesaikan Persamaan Nilai Mutlak Bagian 2 Materi

Cara Mudah Menyelesaikan Persamaan Nilai Mutlak Bagian 2 Materi

Nilai Mutlak

Nilai Mutlak

Sifat Sifat Persamaan Dan Pertidaksamaan Nilai Mutlak Wayae Belajar

Sifat Sifat Persamaan Dan Pertidaksamaan Nilai Mutlak Wayae Belajar

Cara Penyelesaian Pertidaksamaan Pecahan Jelas Dan Mudah Youtube

Cara Penyelesaian Pertidaksamaan Pecahan Jelas Dan Mudah Youtube

Source : pinterest.com