ads/auto.txt
Contoh Soal Limit Fungsi Aljabar Dan Pembahasannya Doc Kumpulan

Contoh Soal Limit Fungsi Aljabar Dan Pembahasannya Doc Kumpulan

Limit Fungsi Aljabar Materi Rumus Metode Contoh Soal

Limit Fungsi Aljabar Materi Rumus Metode Contoh Soal

Contoh Soal Limit

Contoh Soal Limit

Contoh Soal Limit Fungsi Aljabar Bentuk Akar Dan Pembahasannya

Contoh Soal Limit Fungsi Aljabar Bentuk Akar Dan Pembahasannya

Contoh Soal Limit Beserta Pembahasan Dan Jawabannya

Contoh Soal Limit Beserta Pembahasan Dan Jawabannya

Contoh Soal Limit Akar Sekawan Dan Pembahasannya Kumpulan Soal

Contoh Soal Limit Akar Sekawan Dan Pembahasannya Kumpulan Soal

Contoh Soal Limit Akar Sekawan Dan Pembahasannya Kumpulan Soal

By ahmad arifin posted on april 6 2020.

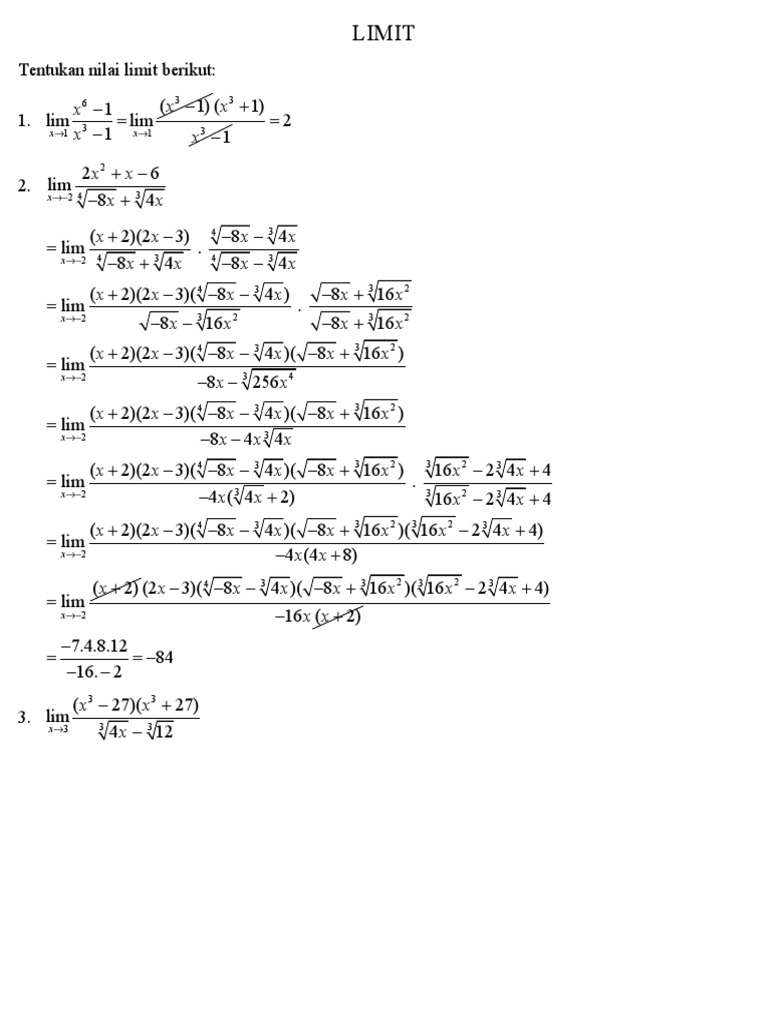
Contoh soal limit fungsi aljabar dan pembahasannya doc. Limit biasa dipakai dalam kalkulus dan cabang lainnya dari analisis matematika untuk mencari turunan dan kontinyuan. Soal dan pembahasan limit fungsi aljabar doc berikut ini adalah kisi kisi soal pretest ppg 2018 yang merupakan kumpulan file dari berbagi sumber kisi kisi ppg tentang soal dan pembahasan limit fungsi aljabar doc yang bisa bapak ibu gunakan dan diunduh secara gratis dengan menekan tombol download biru dibawah ini. Deret dan notasi sigma beserta pembahasannya. Data data mengenai contoh soal limit fungsi aljabar dan pembahasannya doc.

Limit didalam konsep ilmu matematik biasa digunakan untuk menjelaskan suatu sifat dari suatu fungsi saat agumen telah mendekati pada suatu titik tak terhingga atau sifat dari suatu barisan saat indeks mendekati tak hingga. Limit fungsi aljabar menghitung limit fungsi trigonometri. Limit trigonometri jika pada ulasan sebelumnya telah kita bahas seputar identitas trigonometri untuk pembahasan kali ini kami akan mengulas tentang materi limit fungsi trigonometri rumus limit fungsi beserta contoh soal perhitungan limit dan cara menghitungnya yang benar dan tepat. Pembahasan soal limit fungsi aljabar soal limit dengan pemfaktoran contoh limit dengan substitusi contoh limit dengan membagi pangkat tertinggi soal limit untuk tak terhingga.

Berikut ini adalah contoh soal dan pembahasan super lengkap mengenai limit khusus fungsi aljabar. Pelajari rangkuman materi limit dilengkapi dengan contoh soal limit beserta pembahasan jawaban lengkap dari soal un dan sbmptn untuk kelas 11. Penyajian rumus simbol matematika di sini menggunakan latex sehingga lebih smooth dari segi tampilan. Berikut ini adalah contoh soal dan pembahasan super lengkap mengenai limit khusus fungsi aljabar.

Rangkuman contoh soal dimensi tiga jawaban pembahasannya. Pengertian limit dalam ilmu matematika. Untuk soal limit fungsi trigonometri dipisahkan dalam postingan lain karena soalnya akan terlalu banyak bila ditumpuk menjadi satu. Limit fungsi aljabar rumus metode sifa.

Soal Limit Dan Pembahasan Guru Ilmu Sosial

Soal Limit Dan Pembahasan Guru Ilmu Sosial

Soal Dan Pembahasan Limit Fungsi

Soal Dan Pembahasan Limit Fungsi

Contoh Soal Limit Fungsi

Contoh Soal Limit Fungsi

Soal Dan Pembahasan Limit Fungsi Guru Ilmu Sosial

Soal Dan Pembahasan Limit Fungsi Guru Ilmu Sosial

Contoh Soal Vektor Matematika Dan Pembahasannya Pdf Ilmu

Contoh Soal Vektor Matematika Dan Pembahasannya Pdf Ilmu

Contoh Soal Limit Fungsi Aljabar Dan Pembahasannya Doc

Contoh Soal Limit Fungsi Aljabar Dan Pembahasannya Doc

Pembahasan Soal Limit Sma Kelas 11 Ipa

Pembahasan Soal Limit Sma Kelas 11 Ipa

Contoh Soal Limit Tak Hingga Dunia Belajar

Contoh Soal Limit Tak Hingga Dunia Belajar

Materi Limit Fungsi Doc Doc Document

Materi Limit Fungsi Doc Doc Document

Contoh Soal Limit Fungsi Aljabar Dan Pembahasannya Ekp4235 Studocu

Contoh Soal Limit Fungsi Aljabar Dan Pembahasannya Ekp4235 Studocu

Cara Mengerjakan Limit Fungsi Guru Ilmu Sosial

Cara Mengerjakan Limit Fungsi Guru Ilmu Sosial

Niekingbrad Soal Dan Pembahasan Turunan Fungsi Trigonometri Pdf

Niekingbrad Soal Dan Pembahasan Turunan Fungsi Trigonometri Pdf

Pdf Bank Soal Un Matematika Sma Limit Fungsi Aljabar Dony Abadi

Pdf Bank Soal Un Matematika Sma Limit Fungsi Aljabar Dony Abadi

Limit Fungsi Rumus Macam Dan Contoh Soal

Limit Fungsi Rumus Macam Dan Contoh Soal

Source : pinterest.com